Running series #1: evidence based injury prevention
18 December 2023

As we prepare our bodies for upcoming running events across Melbourne, we have likely begun to up the ante on the distance, speed and intensity of our runs. But did you know that half of all runners sustain an injury each year that prevents them from running, and 25% of all runners are injured at any given time?
Considering the high rates of running related injuries (RRI), how can we best reach our goals without risking injury?
Luckily, there is ample evidence to suggest that structured strengthening exercises can allow us to safely train while keeping injury at bay.
A systematic review conducted in 2014 collected data from 25 trials, which included 26,610 participants with 3,464 injuries. The study aimed to determine the effect of physical activity through strength training, proprioception (sense of balance and position in space), stretching and combinations of these exercises on reducing acute and chronic sports injuries.

Total estimate forest plots. Stretching denoted by red, proprioception yellow, strength green, and multiple component studies blue. Plots further to the left indicate higher effectiveness in reducing sports injury. Figure retrieved from Lauersen, et. al, 2014.
Analysis of the data concluded that multiple exposure (or, multiple interventions), proprioception training and strength training had a minimising effect on both acute and overuse injuries. In fact, strength training reduced sports injuries to less than a third, and overuse injuries almost halved. Stretching, however, proved no beneficial effect.
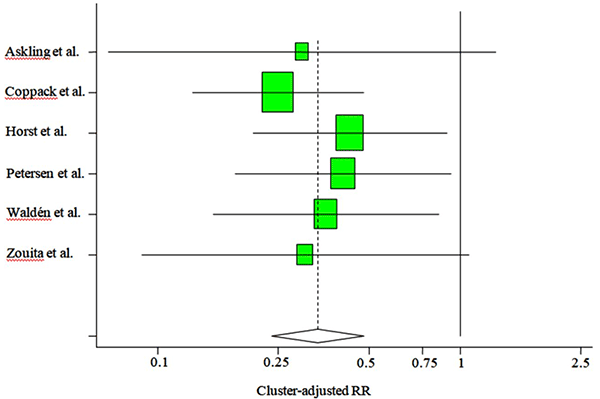
A more recent systematic review conducted in 2018 assessed the effect of strength training-based sports injury prevention specifically, and also attained favourable results. Six high-quality studies including 7,738 participants were analysed.

Forest plot of strength training sports injury prevention programs. Plots further to the left indicate higher effectiveness in reducing sports injury. Figure retrieved from Lauersen, et. al, 2018.
While implementation of the strength training programs varied between studies, its effectiveness on prevention of acute and overuse sports injuries was consistent. Overall, strength training programs reduced sports injuries by 66%, and were able to more than halve the risk of sports injury (with 95% certainty). A dose-response relationship between strength training and injury prevention was found, indicating that the more strength training was present, the better prepared the athlete and less chance of injury. There were also zero adverse effects due to strength training across all the studies.
Strength training should first begin with a familiarisation or technique phase, before increasing volume and intensity. Following this, the evidence suggests:
For preventing acute injuries:
- Strengthening failure thresholds of relevant tissues
- Technique and psychological preparedness
For preventing overuse injuries:
- Gradual tissue conditioning
- Sufficient technique
- Training variation
Talk to your physio about how best to initiate and progress your strength training program for optimal injury prevention and management.
Main Take-Away
Prevent injuries with strength training, focussing first on familiarisation, followed by gradual conditioning of relevant tissues with adequate volumes. Addressing technique, psychological preparedness and ensuring training variation are also crucial to integrate into your training program.
References
Kakouris, N., Yener, N., & Fong, D. (2021). A systematic review of running-related musculoskeletal injuries in runners. Journal of sport and health science, 10(5), 513–522. https://doi.org/10.1016/j.jshs.2021.04.001
Lauersen, J. B., Andersen, T. E., & Andersen, L. B. (2018). Strength training as superior, dose-dependent and safe prevention of acute and overuse sports injuries: a systematic review, qualitative analysis and meta-analysis. British journal of sports medicine, 52(24), 1557–1563. https://doi.org/10.1136/bjsports-2018-099078
Lauersen, J. B., Bertelsen, D. M., Andersen, L. B. (2014). The effectiveness of exercise interventions to prevent sports injuries: a systematic review and meta-analysis of randomised controlled trialsBritish Journal of Sports Medicine;48:871-877.
Fokkema T, de Vos R, Visser E, et al. Enhanced injury prevention programme for recreational runners (the SPRINT study): design of a randomised controlled trial. BMJ Open Sport & Exercise Medicine 2020;6:e000780. doi: 10.1136/bmjsem-2020-000780